JVM의 에너지 효율과 Graalvm의 역할
세계가 점점 더 에너지 소비와 환경 영향을 의식 해짐에 따라 소프트웨어 개발은 녹색으로 가십시오. 놀랍게도, 런타임 환경의 선택과 코드 실행 방법조차도 에너지 소비에 영향을 줄 수 있습니다. 이로 인해 JVMS (Java Virtual Machines), JAVA 응용 프로그램 실행의 필수 요소 및 JVM 세계 Graalvm의 떠오르는 별이 있습니다.
이 기사에서는 JVM 생태계에서 코드 성능 및 에너지 효율이 어떻게 교차하는지, 왜 Graalvm 이이 도메인에서 눈에 띄는지를 탐색 할 것입니다.
JVM 컨텍스트에서 에너지 및 성능 이해
JVM에서 에너지 효율이 중요한 이유를 파악하려면 먼저 JVM이하는 일을 이해해야합니다. JVM은 Java 애플리케이션을 전원으로 전력으로 전력하여 플랫폼 독립적 인 Java Bytecode를 기계 별 지침으로 변환하는 엔진입니다. 이 유연성은 큰 강점이지만, 특히 C ++와 같은 컴파일 된 언어에 비해 JVM이 약간의 오버 헤드를 가지고 있음을 의미합니다.
이제 소프트웨어의 에너지 소비는 하드웨어가 더 뜨거워 지거나 더 많은 전기를 소비하는 것에 관한 것이 아닙니다. 소프트웨어 자체의 성능과 관련이 있습니다. 코드가 느리거나 비효율적이면 실행하는 데 시간이 오래 걸리며, 이는 더 많은 CPU 사이클, 전력 추첨 및 에너지 사용량이 높아집니다. 성능과 에너지 효율 사이의 이러한 연결은 JVM을 최적화하는 것의 핵심입니다.
Leeds Beckett University (2023)와 Hal Open Science (2021)의 연구는 JVM 최적화 및 구성이 에너지 사용에 크게 영향을 미치는 방법을 보여줍니다. 새로운 JVM은 더 나은 쓰레기 수집, JIT (Just-In-Time) 컴파일 및 기타 최적화를 통해 성능을 향상시켜 런타임뿐만 아니라 에너지 비용을 줄입니다. 그러나 이러한 발전 내에서도 에너지 효율적인 Java : Graalvm에 대한 우리가 어떻게 생각하는지 개조하는 눈에 띄는 경쟁자가 있습니다.

Graalvm이 다른 이유는 무엇입니까?
Graalvm은 Java 및 기타 JVM 호환 언어로 작성된 응용 프로그램의 효율성을 향상시키기 위해 고성능 런타임입니다. 기존의 JVM 구현과 달리 Graalvm은 속도와 에너지 사용에서 독특한 고급 최적화 기술을 통합합니다. 기본 이미지 기능을 사용하면 애플리케이션을 독립형 실행 파이브로 미리 (AOT)로 컴파일 할 수 있습니다.
기존의 JVM은 JIT 컴파일에 크게 의존하여 런타임에 바이트 코드를 컴퓨터 코드로 컴파일합니다. 이 접근법을 사용하면 적응 적 최적화 (프로그램이 진행됨에 따라 학습 및 최적화)가 허용되지만 시작 시간이 지연되고 실행 중에너지를 소비합니다. Graalvm의 AOT 컴파일은 코드를 사전 컴파일하여 시작 시간과 리소스 소비를 크게 줄임 으로써이 런타임 오버 헤드를 제거합니다.
또한 GraalVM은 PolyGlot 프로그래밍을 지원하여 개발자가 JavaScript, Python 및 Ruby와 같은 언어를 단일 애플리케이션에서 혼합 할 수 있도록합니다. 이를 통해 여러 런타임 환경의 필요성을 줄이고 배포를 단순화하고 다양한 인프라 유지와 관련된 에너지 비용을 줄입니다.
숫자의 에너지 효율
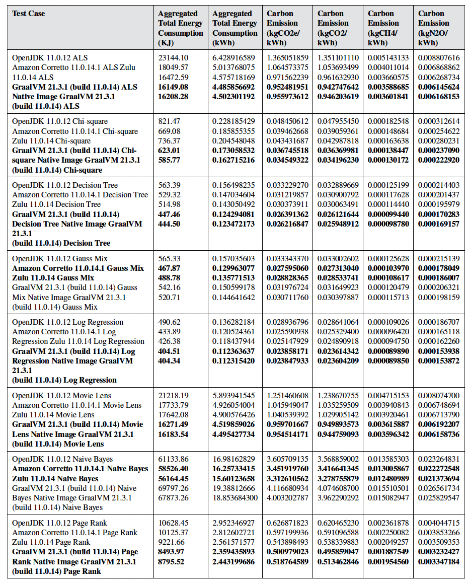
많은 사람들이 요구할 수있는 질문은 다음과 같습니다. Graalvm은 진정으로 에너지 용어를 차이가 있습니까? 결합 된 연구는 약간의 명확성을 제공합니다. 예를 들어, Leeds Beckett University (2023)와 Hal Open Science (2021)는 다양한 워크로드를 사용하여 OpenJDK, Amazon Corretto 및 Azul Zulu와 같은 전통적인 JVM에 대해 Graalvm을 벤치마킹했습니다. 두 연구 모두 GraALVM, 특히 기본 이미지 구성에서 대부분의 시나리오에서 에너지가 적고 작업을 완료했습니다.
흥미롭게도, 에너지 소비 이득은 모든 벤치 마크에서 선형이 아닙니다. Graalvm은 데이터 평행 작업에서 우수했지만 최소 제곱 (ALS) 교대그것은 매우 평행 한 작업과 같은 성능이 저조합니다 Avrora. 이는 워크로드 유형이 런타임의 에너지 효율에 크게 영향을 미친다는 것을 시사합니다.
더욱이, 연구원들은 핫스팟 15와 같은 새로운 JVM이 일반적으로 핫스팟 8과 같은 이전 버전보다 더 나은 에너지 성능을 제공했지만 Graalvm은 지속적으로 눈에 띄었다. GraalVM은 장기 실행 작업에 최적화 된 JVMS와 비교할 때도 AOT 컴파일로 인해 에너지 비용이 낮아서 런타임 오버 헤드를 최소화했습니다.

JVM 구성 연구의 통찰력
런타임 최적화 외에도 JVM을 구성하는 방법은 에너지 소비에 중대한 영향을 미칠 수 있습니다. 두 연구 모두 GC (Garbage Collection) 및 JIT 컴파일러 설정의 역할을 강조했습니다. 예를 들어, Hal Open Science는 기본 GC 설정이 실험의 절반에서만 에너지 효율적이라는 것을 발견했습니다. ParallelGC 및 SerialGC와 같은 대체 GC 전략은 때때로 G1GC와 같은 기본 구성을 능가했습니다. 마찬가지로 JIT 컴파일 수준을 조정하면 에너지 효율이 향상 될 수 있지만 이러한 조정에는 종종 상세한 성능 평가가 필요했습니다.
가장 인상적인 관찰 중 하나는 응용 특성을 기반으로 한 에너지 절약의 변동성이었습니다. H2 데이터베이스 시뮬레이션과 같은 데이터가 많은 작업의 경우 GraalVM의 기본 구성을 사용할 때 에너지 절약이 가장 두드러졌습니다. 그러나 원자로와 같은 동시 응용 분야의 경우 JIT 스레드의 특정 구성이 상당한 개선을 제공했습니다.
탄소 발자국 감소
이러한 에너지 절약의 환경 적 영향은 엄청납니다. 표준화 된 에너지-탄소 전환 계수를 사용하여 연구는이를 강조했습니다 GraalVM은 기존 JVM보다 이산화탄소 배출량을 더 효과적으로 감소 시켰습니다. 이러한 감소는 클라우드 환경에서 특히 중요했으며, 최적화 런타임 효율성은 운영 비용을 낮추고 대규모 배포의 탄소 발자국을 줄였습니다.

소프트웨어 개발에 대한 광범위한 의미
Leeds Beckett University (2023)와 Hal Open Science (2021)의 연구 결과는 분명합니다. 에너지 효율은 더 이상 하드웨어에 관한 것이 아닙니다. 더 똑똑한 소프트웨어를 선택하는 것입니다. Graalvm과 같은 친환경 JVM을 채택함으로써 개발자는 성능을 손상시키지 않고 지속 가능성 목표에 직접 기여할 수 있습니다.
그러나 Greener 소프트웨어로가는 길은 런타임을 선택하는 것이 아닙니다. 워크로드 유형의 뉘앙스, 런타임 구성 및 응용 프로그램 동작을 이해하는 것이 포함됩니다. Hal Open Science의 연구에서 도입 된 J- 참조와 같은 도구는 개발자가 특정 요구에 대한 가장 에너지 효율적인 JVM 구성을 선택하여 지속 가능한 컴퓨팅 경로를 단순화 할 수 있도록 도와줍니다.
결론
코드 성능과 에너지 효율 사이의 상관 관계는 분명합니다. 더 빠르고 최적화 된 소프트웨어는 에너지를 덜 소비합니다. JVM은 오랫동안이 논의의 중심에 있었으며 전통적인 JVM은 계속 발전하고 있지만 Graalvm은 도약을 제공합니다. 고성능, 에너지 효율 및 다양성을 결합함으로써 빠르고 환경 의식이 빠르고 환경 의식이있는 응용 프로그램을 구축하려는 현대 개발자에게 강력한 도구로 눈에.니다.
광범위한 시나리오에서 효율성을 확인하는 연구를 통해 Graalvm은 소프트웨어 지속 가능성에 대한 생각의 변화를 나타냅니다. Greener 소프트웨어로의 여정은 성능, 비용 및 환경 책임의 균형을 맞추는 선택과 같은 선택으로 시작합니다.
참조
- Vergilio, TG 및 DO HA, L 및 Kor, A-LG (2023) JAVA 응용 분야에서 JVM 변형 및 GraALVM의 비교 성능 및 에너지 효율 분석.
- Zakaria Ournani, Mohammed Chakib Belgaid, Romain Rouvoy, Pierre Rust, Joel Penhoat. 에너지 소비에 대한 Java Virtual Machines의 영향 평가.



Post Comment